
前言
本文具有强烈的个人感情色彩,如有观看不适,请尽快关闭. 本文仅作为个人学习记录使用,也欢迎在许可协议范围内转载或分享,请尊重版权并且保留原文链接,谢谢您的理解合作. 如果您觉得本站对您能有帮助,您可以使用RSS方式订阅本站,感谢支持!
如题
给你一个链表的头节点head,判断链表中是否有环。
如果链表中有某个节点,可以通过连续跟踪next指针再次到达,则链表中存在环。 为了表示给定链表中的环,评测系统内部使用整数pos来表示链表尾连接到链表中的位置(索引从 0 开始).
注意:
pos不作为参数进行传递 。仅仅是为了标识链表的实际情况。
如果链表中存在环 ,则返回true。 否则,返回false。
示例1

1
2
3
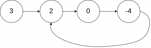
输入:head = [3,2,0,-4], pos = 1
输出:true
解释:链表中有一个环,其尾部连接到第二个节点。
示例2

1
2
3
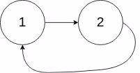
输入:head = [1,2], pos = 0
输出:true
解释:链表中有一个环,其尾部连接到第一个节点。
示例3

1
2
3
输入:head = [1], pos = -1
输出:false
解释:链表中没有环。
实现代码
1
2
3
4
5
6
7
8
9
10
11
12
13
14
15
16
17
18
19
20
struct ListNode {
int val;
ListNode *next;
ListNode(int x) : val(x), next(NULL) {}
};
class Solution {
public:
bool hasCycle(ListNode *head) {
unordered_set<ListNode *> seen;
while (head != nullptr) {
if (seen.count(head)){
return true;
}
seen.insert(head);
head = head->next;
}
return false;
}
};